The Taxman Never Lies...


Oral history is fascinating and useful and very fun and doesn’t always match the written history. That doesn’t make oral history incorrect or invalid any more than it makes the written history incorrect or invalid; it makes all history nuanced.
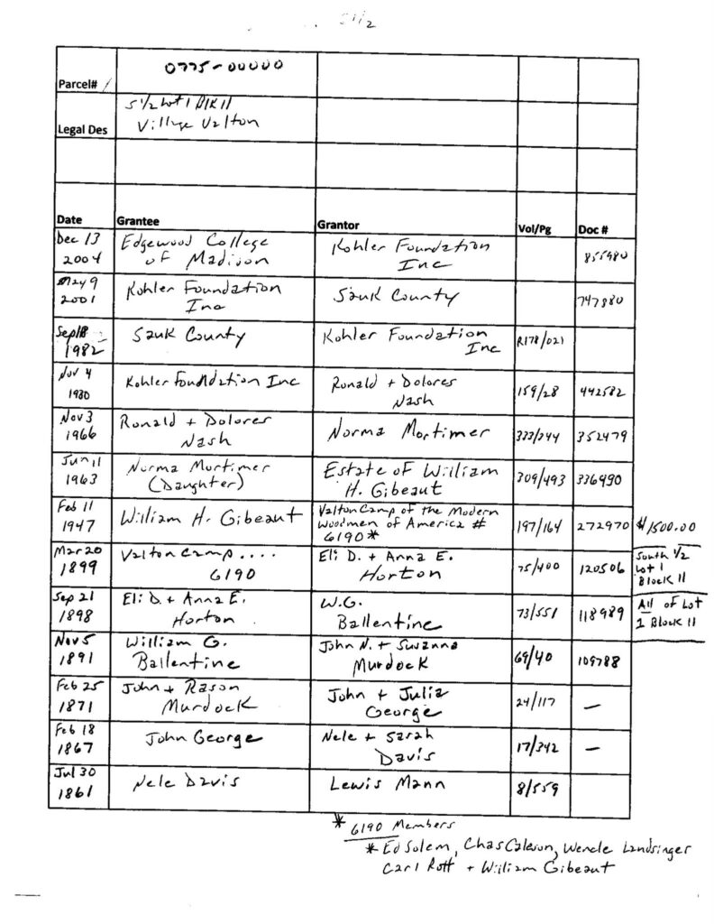
We reached out to Brent Bailey, Sauk County’s Register of Deeds. Brent sent us a list of the ownership of MWA Hall 6190 and land dated all the way back to Wisconsin Statehood in 1848. (Brent is a great gun with a very dry sense of humor. And we will be back with more historical requests.)
Oral history tells us that Charles Gibeaut was the mover and shaker that created MWA Camp 6190. But the written record has no mention of Charles only his son William. If we relied on either the written record or just the oral history we would not have the whole picture.
William is Charles’s oldest son, and at the time of the purchase of the land was just 16 years old. One can only hypothesis that his dad, Charles, put him up for office and guided him to be an integral part of the Camp 6190 membership. So was Charles the mover and shaker? You bet! Is he in the written history? Not according to the taxman.
Tagged blog